Ключевые выводы исследования / TL;DR
Исследование выявило системную трёхфазную схему дезинформации, которую белорусские государственные медиа применили для освещения парламентских выборов в Молдове. Кампания началась за несколько дней до голосования и продолжилась после объявления результатов, при этом нарративы не просто повторялись, а эволюционировали и адаптировались к каждому этапу. На предвыборной стадии закладывался фундамент недоверия через темы репрессий и внешнего управления, в день голосования акцент сместился на прямые обвинения в фальсификациях, а после подведения итогов нарратив трансформировался в метаповествование о тотальной нелегитимности результатов. Эта пролонгированная стратегия создаёт у аудитории устойчивое восприятие выборов как несправедливых и контролируемых извне, что требует комплексных мер противодействия со стороны медиа, платформ и самой аудитории.
Вывод: системная, пролонгированная дезинформация; нужны меры к медиагигиене и контр-коммуникации.
Методология
Анализ проведен на основе метаданных и полных текстов YouTube-видео белорусских государственных медиа. Использованы методы автоматического анализа тональности, выделения тематических рамок и временного анализа. Проведен анализ дезинформационных нарративов и подготовлены гипотезы для будущих классических фактчекинговых публикации.
Где были использованы возможности LLM:
- транскрибирование видео в текст;
- для оценки дезинформационных рисков;
- фактчекинга.
Было собрано 48 видео на пяти YouTube-каналах беларуских медиа с государственной формой собственности за период с 1 сентября 2025 года по 13 октября 2025 года. Эти видео собрали более 4 миллионов просмотров. 32 видео относятся к высокомому риску, 50 заявлений требуют дополнительного фактчекинга.
Результаты анализа:

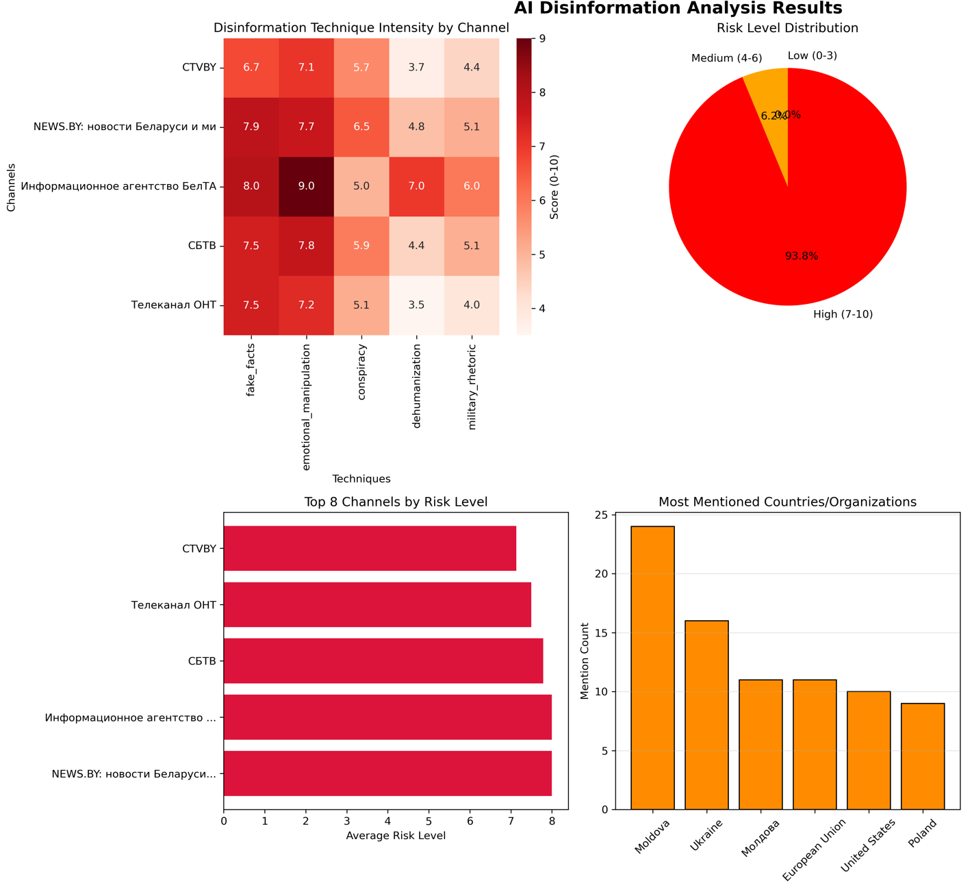
Визуализация результатов исследования демонстрирует масштаб и характер дезинформационной кампании. Анализ интенсивности применения различных техник манипуляции показывает, что белорусские государственные каналы систематически использовали весь спектр методов воздействия, причём наиболее активными были каналы СТВ.BY, Информационное агентство БелТА и NEWS.BY. Особенно заметно доминирование техник эмоциональной манипуляции с показателями от 6.0 до 9.0 баллов, что свидетельствует о сознательной стратегии воздействия на чувства аудитории, чем на рациональное мышление.
Распределение контента по уровням риска оказалось критически асимметричным. Подавляющее большинство проанализированного материала — 93.8% — попало в категорию высокого риска дезинформации, что означает систематическое использование ложных утверждений, конспирологических нарративов и манипулятивных техник. Лишь 6.2% контента классифицировано как средний уровень риска, а материалов с низким риском не обнаружено вообще. Такая концентрация высокорисковых материалов указывает не на случайные ошибки в журналистской работе, а на целенаправленную информационную кампанию.
Географический фокус дезинформации также выявил чёткие закономерности. Молдова как объект исследования ожидаемо возглавила список наиболее упоминаемых стран с более чем 24 упоминаниями, однако значительное внимание уделялось также Украине (около 15 упоминаний), Европейскому союзу и другим западным странам. Эта географическая карта упоминаний раскрывает базовый нарратив о противостоянии между «контролируемой Западом» Молдовой и альтернативными центрами влияния, что служит основой для конспирологических построений о внешнем управлении выборами.
Набор видео с высоким риском и приоритетные запросы на фактчекинг.
Линия нарративов
На основании собранных данных была собрана трёхфазная временная линия нарративов.
До дня голосования (23–27 сентября)
Базовый фрейм: «Репрессии, “истерика” и внешнее управление — выборы собираются украсть».
-
23.09: ранний разогрев — «Санду устраняет оппозицию / секретный план Румынии» (CTVBY, Лазуткин). Тезисы про внешнее влияние и «развал Молдовы».
Риск:7.0
Дата:2025-09-23 17:20:01Фальшивые факты7.0
Эмоциональные манипуляции8.0
Конспирология6.0
Дегуманизация4.0
Ключевые утверждения:- Избирательная поддержка Санды искусственно завышена из-за иностранного вмешательства.
- Избирательный процесс в Молдове имеет фундаментальные недостатки и контролируется внешними силами.
- Румыния пытается подорвать суверенитет Молдовы политическими и экономическими средствами.
- 26.09: серия выпусков «Операция “украсть выборы”»: акценты на «массовые аресты», «политические зачистки», «истерика власти», привязка к «операции в Приднестровье» и даже «французским военным».
Риск:
7.0
Дата:2025-09-26 16:45:28Фальшивые факты7.0
Эмоциональные манипуляции8.0
Конспирология6.0
Дегуманизация4.0
Ключевые утверждения:- Молдавские власти подавляют инакомыслие и манипулируют выборами.
- Иностранные военные силы вмешиваются во внутренние политические вопросы.
- ЕС игнорирует нарушения прав человека в Молдове по геополитическим причинам.
- 27.09: «ЕС разрешил репрессии в Молдове?!» — перенос ответственности на Брюссель и усиление эмоций («жестокость Санду шокирует»).
Риск:
7.0
Дата:2025-09-27 17:45:46Фальшивые факты7.0
Эмоциональные манипуляции6.0
Конспирология5.0
Дегуманизация3.0
Ключевые утверждения:- Президент Майя Санду манипулирует выборами, чтобы привести Молдову в соответствие с ЕС в ущерб интересам России.
- Правительство сократило количество избирательных участков в России, одновременно увеличив их количество в Европе.
- ЕС допустил репрессии в Молдове.
Итог фазы: аудитории заранее объясняют ожидаемую «кражу выборов», легитимизируют тезис о репрессиях и внешнем управлении (ЕС/Румыния).
День голосования (28 сентября)
Базовый фрейм: «Скандал и фальсификации прямо сейчас».
- Утро/день: «Скандальные выборы в Молдове!» + ключевой лозунг «Власть сжигает бюллетени за оппозицию!»; эмоциональные формулы («Молдаване теряют родину»).
Риск:
6.0
Дата:2025-09-28 13:39:36Фальшивые факты7.0
Эмоциональные манипуляции6.0
Конспирология5.0
Дегуманизация4.0
Ключевые утверждения:- Фальсификация выборов в Молдове
- Сожжение бюллетеней оппозиции
- Дневные выпуски «Махинации на выборах!» — валят цифры без источников («600 обысков», «десятки задержаний», «50 нарушений», «явка >30%») и подают это как доказательство «тотального контроля».
Риск:
6.0
Дата:2025-09-28 14:49:40Фальшивые факты6.0
Эмоциональные манипуляции7.0
Конспирология5.0
Дегуманизация2.0
Ключевые утверждения:- 2000 избирательных участков
- 101 депутата парламента из 25 партий
- 600 обысков и десятки задержаний
- явка на голосование уже преодолела порог в 30%
- около 50 случаев нарушений
- Отдельная линия — диаспора: «за судьбу Молдовы голосуют молдаване России и Беларуси», что усиливает мотив «настоящего народа» вне ЕС.
Риск:
5.0
Дата:2025-09-28 15:00:36Фальшивые факты3.0
Эмоциональные манипуляции6.0
Конспирология2.0
Дегуманизация1.0
Ключевые утверждения:- Молдаване России и Беларуси голосуют за судьбу Молдовы
- Утро 29.09: «Молдаване в ярости от итогов выборов» (CTVBY) — обобщающее недовольство и намёки на протесты.
Риск:
5.0
Дата:2025-09-29 11:06:48Фальшивые факты3.0
Эмоциональные манипуляции6.0
Конспирология4.0
Дегуманизация2.0
Ключевые утверждения:- Рост ВВП в государствах СНГ превышает среднемировые темпы.
- По итогам 2024 во всех странах Содружества наблюдается позитивная динамика.
- Днём 29.09: «Кто на самом деле решил судьбу Молдовы?» — перевод на конспирологию о внешнем управлении (США/ЕС/Румыния).
Риск:
7.0
Дата:2025-09-29 15:22:16Фальш.факты8.0
Эмоц.манипуляции7.0
Конспирология6.0
Дегуманизация3.0
Ключевые утверждения:- Выборы в Молдове были сфальсифицированы и являются нелегитимными.
- Молдавская политика находится под контролем иностранных держав.
- Имело место значительное подавление голосов избирателей, особенно в диаспоре.
- В этот же день: «Молдова расколота итогами выборов / электоральная инженерия» — оформление тезиса о «сконструированной победе».
Риск:
7.0
Дата:2025-09-29 15:55:57Фальшивые факты7.0
Эмоциональные манипуляции8.0
Конспирология6.0
Дегуманизация3.0
Ключевые утверждения:- Результаты выборов свидетельствуют о расколе в стране и серьезных обвинениях в фальсификациях.
- Западные державы обвиняются в манипулировании результатами выборов.
- Оппозиция представляется неэффективной и лишенной лидерства.
- 30.09: тематические выпуски «Что стало с Молдовой при Санду?» и «Почему в Европе нет страны беднее, чем Молдова» — закрепление образа «разрушенной, бедной страны под внешним управлением».
Риск:
6.0
Дата:2025-09-30 11:52:42Фальшивые факты7.0
Эмоциональные манипуляции6.0
Конспирология3.0
Дегуманизация2.0
Ключевые утверждения:- Молдова разорвала отношения с Россией и СНГ.
- Молдова — одна из беднейших стран Европы.
- Молдавская сельскохозяйственная продукция не нужна Европе.
- Параллельно — «Итоги парламентских выборов… Как режим Санду борется с оппозицией» (NEWS.BY) — финальная связка: «выборы украдены → режим → внешняя оккупация ЕС/США».
Риск:
8.0
Дата:2025-09-30 19:01:31Фальшивые факты8.0
Эмоциональные манипуляции9.0
Конспирология7.0
Дегуманизация6.0
Ключевые утверждения:- Выборы в Молдове были подвергнуты серьезным манипуляциям и не были демократическими.
- Молдова находится под ползучей европейской оккупацией.
Итог фазы: нарратив смещается от предупреждений к «онлайн-доказательствам» фальсификаций и драматизации процесса («сжигают бюллетени», «махинации»).
После объявления результатов (29–30 сентября и далее)
Базовый фрейм: «Итоги нелегитимны; Молдовой управляют извне; страна беднеет и разрывает связи».
Ключевые выводы
Проведённое исследование раскрывает сложность механизма информационного воздействия, который функционирует как целостная система rather than набор разрозненных манипуляций. Ключевая особенность обнаруженной схемы заключается в её динамической природе: дезинформационные нарративы не остаются статичными, а проходят через три чётко различимые фазы трансформации, каждая из которых выполняет определённую функцию в общей стратегии.
На первой, подготовительной фазе создаётся информационный контекст недоверия и ожидания нарушений. Аудитория заранее программируется на восприятие выборов как нелегитимных через постоянное упоминание репрессий, обвинений во внешнем управлении и предсказаний о грядущих фальсификациях. Этот этап формирует интерпретационную рамку, через которую зрители будут воспринимать последующие события.
Вторая фаза, совпадающая с днём голосования, превращает предварительные обвинения в якобы документированные факты. Нарратив резко смещается от предупреждений к сообщениям о происходящих прямо сейчас скандалах и фальсификациях. Эмоциональная интенсивность контента достигает пика, используя срочность момента для максимального воздействия на аудиторию. Зрители получают подтверждение своих ожиданий, сформированных на первой фазе, что усиливает эффект достоверности.
Третья, постэлекторальная фаза представляет собой наиболее изощрённый элемент схемы. Вместо простого продолжения обвинений происходит нарративная трансформация: отдельные «скандалы» интегрируются в масштабное метаповествование о системной нелегитимности не только выборов, но и всего политического курса Молдовы. Здесь дезинформация переходит от тактического к стратегическому уровню, формируя долгосрочное восприятие молдавской политики как управляемой извне и противоречащей интересам собственного народа.
Психологическая эффективность этой трёхфазной схемы обусловлена принципом подтверждения предсказаний. Когда аудитория сначала слышит о предстоящих нарушениях, затем видит их «документацию» в реальном времени, и наконец получает «объяснение» результатов через призму этих нарушений, создаётся иллюзия последовательного и логичного нарратива. Критическое мышление подавляется кажущейся согласованностью информационного потока.
Особую тревогу вызывает масштаб охвата этой кампании. Более четырёх миллионов просмотров проанализированных видео указывают на значительное влияние на русскоязычную аудиторию, включая жителей самой Молдовы, для которых эти материалы создают альтернативную информационную реальность. В условиях ограниченного медиаплюрализма в русскоязычном информационном пространстве такой объём целенаправленной дезинформации представляет серьёзную угрозу для формирования адекватного общественного мнения о демократических процессах.
Системный характер обнаруженной схемы свидетельствует о координированных усилиях и единой стратегии, реализуемой через множество каналов. Синхронность в смене нарративных фаз, единообразие используемых техник манипуляции и согласованность основных месседжей исключают возможность случайного совпадения. Это продукт планирования и централизованной координации информационной политики.
Рекомендации
Противодействие выявленной трёхфазной схеме дезинформации требует не менее системного и многоуровневого подхода, который должен учитывать динамическую природу информационных атак и работать на опережение.
Средствам массовой информации и организациям, занимающимся проверкой фактов, необходимо радикально пересмотреть свою стратегию реагирования. Традиционная модель постфактум фактчекинга, когда опровержение публикуется после распространения ложной информации, оказывается недостаточной против пролонгированных кампаний. Медиа должны развивать превентивный подход, готовя объяснительные материалы заблаговременно, до возникновения предсказуемых волн дезинформации. В преддверии значимых политических событий следует публиковать контекстные материалы о том, какие манипулятивные нарративы вероятны, как их распознать и почему они ложны. В день самих событий критически важна оперативность: быстрые проверки высоковиральных утверждений должны публиковаться в максимально доступных форматах, таких как короткие видео или инфографика для социальных сетей. После завершения событий необходим углублённый разбор всей нарративной линии дезинформации, демонстрирующий механику манипуляции и помогающий аудитории выработать иммунитет к подобным схемам в будущем.
Технологические платформы и неправительственные организации должны взять на себя ответственность за создание системы раннего предупреждения и быстрого реагирования. Мониторинг информационного пространства должен отслеживать не только отдельные фейки, но и формирование нарративных паттернов, позволяя предсказывать следующие фазы дезинформационных кампаний. Алгоритмы рекомендаций на платформах следует настроить таким образом, чтобы они не усиливали распространение непроверенных и эмоционально заряженных материалов, особенно в периоды политической напряжённости. Партнёрства между платформами и проверяющими организациями должны обеспечивать быстрое размещение контекстуальных пометок и предупреждений на материалах, содержащих дезинформацию. При этом критически важна поддержка местных редакций и фактчекинговых инициатив в регионах, наиболее подверженных информационным атакам, включая обучение, технологическую поддержку и финансирование их работы во время пиковых нагрузок, таких как избирательные кампании.
Для самой аудитории ключевым защитным механизмом становится развитие медиаграмотности и критического мышления, однако эти навыки должны быть переориентированы с распознавания отдельных фейков на понимание системных манипуляций. Людям необходимо научиться распознавать повторяющиеся нарративные структуры, задавая себе вопросы о том, почему определённые темы внезапно доминируют в информационном пространстве, как проверить представленную информацию и какие эмоциональные реакции пытаются у них вызвать. Образовательные программы должны включать практические упражнения по анализу информационных кампаний, демонстрируя реальные примеры манипуляций и их разоблачений. Важно культивировать привычку сопоставлять информацию из источников с различными редакционными политиками, проверять первоисточники цитат и данных, и понимать разницу между репортажем о событии и интерпретацией этого события через определённую идеологическую призму. Граждане должны осознавать, что их эмоциональные реакции на новости могут быть не спонтанными, а результатом целенаправленного воздействия, и развивать способность делать паузу перед тем, как делиться потенциально манипулятивным контентом.
Эффективное противодействие сложным дезинформационным схемам возможно только через координацию всех этих уровней защиты. Медиа предоставляют достоверную альтернативу, платформы ограничивают распространение манипуляций, а информированная аудитория становится менее восприимчивой к попыткам воздействия. Только такой комплексный подход может создать устойчивую информационную среду, в которой демократические процессы защищены от систематических попыток подрыва их легитимности через контролируемые информационные кампании.



















