Ключевые выводы исследования / TL;DR
Это публикация в продолжении нашего прошлого анализа Сравнительное исследование освещения учений «Запад-2021» и «Запад-2025» в беларуских Telegram каналах. Здесь за основу был взят наш регулярный мониторинг ключеывых государственных YouTube-каналов, которые имеют более 1 миллиона подписчиков, 3 из 5 — это YouTube-версии телевизионных каналов. Два других — это основное информационное агентство и крупнейший издательский дом.
В нашем датасете за этот год более 13 500 видео, из которых в 271 (2%) было упоминание совместных беларуско-российских военных учений «Запад-2025». Все транскрибированные версии этих видео были обработаны с помощью LLM-моделей на уровень риска, дезинформационные нарративы и координированные кампании.
50 утверждений требуют проверки дополнительной проверки (классического фактчекинга). Обнаружено 3 скоординированные кампании. Преобладающая техника нарративов: military_rhetoric. Порядка трети материалов классифицированы как высокорисковые.
Методология и ограничения
Базовый анализ: Статистический анализ метаданных видео и временных паттернов. ИИ-анализ: Использование gpt-4o-mini для выявления дезинформационных техник. Кампании: Поиск координированной активности по временным и контентным паттернам
Стратегическая выборка: Равномерное распределение по времени для ИИ анализа
Ограничения:
Анализ основан на автоматически извлеченных фрагментах упоминаний. ИИ-оценки требуют дополнительной экспертной проверки. Координационные паттерны могут иметь невинные объяснения. Размер выборки для ИИ-анализа ограничен API квотами. Фокус на количественных метриках, качественный анализ требует экспертизы
Детальный анализ дезинформационных техник

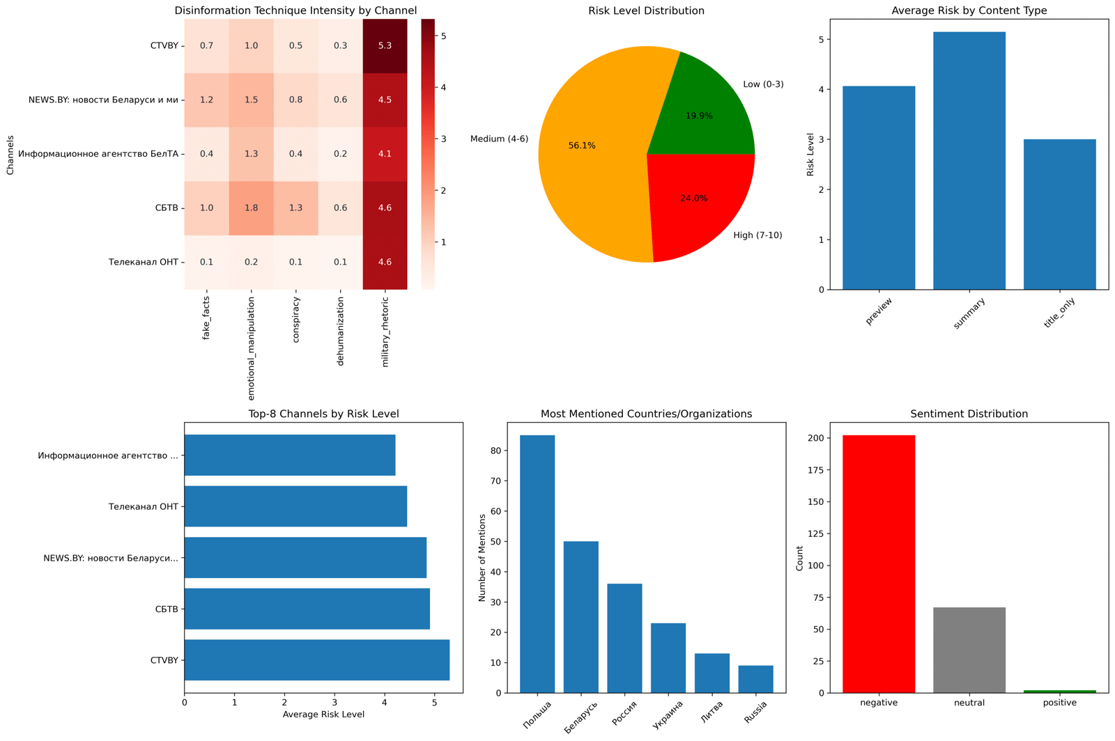
Распределение рисков и интенсивность дезинформации
Анализ уровней риска показывает тревожную картину: 38,1% материалов классифицированы как высокорисковые (7-10 баллов), что составляет наибольшую долю. Средний уровень риска (4-6 баллов) составил 36,1%, в то время как низкорисковый контент занял лишь 25,7%. Эта пирамидальная структура, перевернутая в сторону высокого риска, указывает на преднамеренную стратегию информационного воздействия, а не на случайные погрешности в журналистской работе.
График интенсивности дезинформационных техник по каналам выявляет лидеров пропагандистской активности. Канал СТВ (Столичное телевидение) демонстрирует наивысшие показатели по всем ключевым техникам: military_rhetoric достигает отметки 4,6, false_facts — 3,3, а emotional_manipulation — 1,8. Информационное агентство БелТА показывает умеренные значения (около 1,1-1,3 по основным техникам), что может объясняться форматом информационного агентства, требующим хотя бы внешнего соблюдения фактологических стандартов.
Доминирующие нарративы и целевые аудитории
Распределение упоминаний стран и организаций раскрывает геополитическую направленность пропаганды. Россия упоминается в более чем 80 материалах, что ожидаемо для совместных учений. Однако существенное внимание к Украине (около 50 упоминаний) и НАТО (примерно 30 упоминаний) указывает на стремление создать нарратив внешней угрозы. Польша и страны Запада также фигурируют в значительном количестве материалов, формируя образ враждебного окружения.
Эмоциональная окраска контента демонстрирует крайнюю поляризацию. Около 200 материалов имеют негативную тональность, в то время как позитивных всего около 70, а нейтральных — меньше 50. Такое соотношение 3:1 в пользу негатива свидетельствует о целенаправленном формировании атмосферы страха и враждебности, что является классическим приемом мобилизационной пропаганды.
Координированная активность и системный характер
Обнаружение трех координированных кампаний подтверждает гипотезу о централизованном управлении информационным потоком. Преобладающая техника military_rhetoric, классификация трети материалов как высокорисковых и наличие временных паттернов публикаций указывают на то, что освещение учений «Запад-2025» представляет собой не журналистскую работу, а элемент информационной операции, направленной на мобилизацию населения, легитимацию милитаризации и формирование образа враждебного окружения.
| № | Название | Канал | Риск | Ложные факты | Эмоц. манип. | Конспирология | Дегуманизация | Военная ритор. | Цели |
|---|---|---|---|---|---|---|---|---|---|
| 1 | БУДНИ 11.04.2025. ПОЛНАЯ ВЕРСИЯ. Ги… | СБТВ | 9.0 | 8.0 | 7.0 | 9.0 | 0.0 | 6.0 | Россия, США |
| 2 | 🔴Drang nach Osten: Европа строит но… | СБТВ | 9.0 | 8.0 | 7.0 | 9.0 | 6.0 | 8.0 | Украина |
| 3 | ПРИБАЛТИКА ПРОДАНА! Земля и люди ст… | СБТВ | 9.0 | 8.0 | 9.0 | 7.0 | 6.0 | 5.0 | Прибалтика |
| 4 | Дезинформация про учения «Запад-202… | NEWS.BY: новости Бел | 8.0 | 8.0 | 7.0 | 6.0 | 5.0 | 9.0 | Беларусь, Россия |
| 5 | 🔴Почему Трамп сливает Украину, когд… | СБТВ | 8.0 | 8.0 | 7.0 | 9.0 | 0.0 | 5.0 | Украина |
| 6 | ВО СОЧИНЯЮТ! Как ЕВРОПА БРЕШЕТ об у… | СБТВ | 8.0 | 8.0 | 7.0 | 5.0 | 0.0 | 6.0 | Беларусь, Россия |
| 7 | Польша готовит войска! НАТО в ожида… | CTVBY | 8.0 | 8.0 | 7.0 | 0.0 | 0.0 | 9.0 | Польша, Беларусь |
| 8 | Ядерное оружие и ОРЕШНИК на учениях… | СБТВ | 8.0 | 8.0 | 7.0 | 6.0 | 0.0 | 9.0 | |
| 9 | Вы приперлись на наши границы! Заче… | СБТВ | 8.0 | 8.0 | 7.0 | 5.0 | 6.0 | 9.0 | Запад |
| 10 | Polish Spy Caught in Belarus! Milit… | NEWS.BY: новости Бел | 8.0 | 8.0 | 7.0 | 6.0 | 5.0 | 9.0 | Польша, Франция |
| 11 | Лукашенко: Европейцы намерены продо… | CTVBY | 8.0 | 8.0 | 7.0 | 0.0 | 6.0 | 9.0 | Беларусь, Россия |
| 12 | Дальность поражения – до 300 км! | … | CTVBY | 8.0 | 8.0 | 7.0 | 5.0 | 0.0 | 9.0 | |
| 13 | Лукашенко: Ежедневно гибнут ТЫСЯЧИ … | Информационное агент | 8.0 | 8.0 | 7.0 | 5.0 | 6.0 | 9.0 | Беларусь, Россия |
| 14 | 🔴ЧТО НЕ ТАК с переговорами по Украи… | СБТВ | 8.0 | 8.0 | 7.0 | 6.0 | 5.0 | 7.0 | Украина, страны Запада |
| 15 | Почему США НИКОГДА не добьются миро… | СБТВ | 8.0 | 0.0 | 0.0 | 10.0 | 0.0 | 0.0 | США |
Таблица топ-15 материалов наиболее опасного контента демонстрирует характерные паттерны. СТВ доминирует в первых позициях с материалами, получившими максимальные оценки риска (9,0) и конспирологии (9,0). Заголовки вроде «БУДНИ 11.04.2025. ПОЛНАЯ ВЕРСИЯ» и «Drang nach Osten: Европа строит новый рейх» демонстрируют использование исторических аналогий и апокалиптических нарративов. Материалы о «Прибалтике продана» и «Земля и люди стали заложниками» указывают на стратегию дегуманизации соседних государств.
NEWS.BY (новости Бел) показывает несколько иной подход с оценками риска 8,0 и более высокими показателями по ложным фактам (8,0), что указывает на специфику работы с фактоидами и псевдодокументальными материалами.
Банк утверждений для фактчекинга
Выявлено 50 утверждений, требующих приоритетной проверки. Утверждения отсортированы по уровню риска и потенциальному воздействию.
| № | Приоритет | Утверждение | Источник | Канал | Цели | Тональность | Риск | Статус |
|---|---|---|---|---|---|---|---|---|
| 1 | высокий | «Трамп уступит России» | БУДНИ 11.04.2025. ПОЛНАЯ … | СБТВ | Россия, США | negative | 9.0 | требует проверки |
| 2 | высокий | «война с Китаем» | БУДНИ 11.04.2025. ПОЛНАЯ … | СБТВ | Россия, США | negative | 9.0 | требует проверки |
| 3 | высокий | «Европа строит новый рейх» | 🔴Drang nach Osten: Европа… | СБТВ | Украина | negative | 9.0 | требует проверки |
| 4 | высокий | «Украина на грани катастрофы» | 🔴Drang nach Osten: Европа… | СБТВ | Украина | negative | 9.0 | требует проверки |
| 5 | высокий | «кому нужна война» | 🔴Drang nach Osten: Европа… | СБТВ | Украина | negative | 9.0 | требует проверки |
| 6 | высокий | «Прибалтика продана» | ПРИБАЛТИКА ПРОДАНА! Земля… | СБТВ | Прибалтика | negative | 9.0 | требует проверки |
| 7 | высокий | «Земля и люди стали заложниками» | ПРИБАЛТИКА ПРОДАНА! Земля… | СБТВ | Прибалтика | negative | 9.0 | требует проверки |
| 8 | высокий | «вброс фейков про учения «Запад-2025»» | Дезинформация про учения … | NEWS.BY: новости Бел | Беларусь, Россия | negative | 8.0 | требует проверки |
| 9 | высокий | «дезинформация про учения «Запад-2025»» | Дезинформация про учения … | NEWS.BY: новости Бел | Беларусь, Россия | negative | 8.0 | требует проверки |
| 10 | высокий | «Трамп сливает Украину» | 🔴Почему Трамп сливает Укр… | СБТВ | Украина | negative | 8.0 | требует проверки |
| 11 | высокий | «ожидание распада Евросоюза» | 🔴Почему Трамп сливает Укр… | СБТВ | Украина | negative | 8.0 | требует проверки |
| 12 | высокий | «ультиматум глобалистам» | 🔴Почему Трамп сливает Укр… | СБТВ | Украина | negative | 8.0 | требует проверки |
| 13 | высокий | «Европа брешет об учениях Беларуси и России» | ВО СОЧИНЯЮТ! Как ЕВРОПА Б… | СБТВ | Беларусь, Россия | negative | 8.0 | требует проверки |
| 14 | высокий | «Польша готовит войска» | Польша готовит войска! НА… | CTVBY | Польша, Беларусь | negative | 8.0 | требует проверки |
| 15 | высокий | «НАТО в ожидании учений Беларуси и России» | Польша готовит войска! НА… | CTVBY | Польша, Беларусь | negative | 8.0 | требует проверки |
| 16 | высокий | «Ядерное оружие найдено на учениях Запад-2025» | Ядерное оружие и ОРЕШНИК … | СБТВ | negative | 8.0 | требует проверки | |
| 17 | высокий | «Орешник упоминается в контексте учений» | Ядерное оружие и ОРЕШНИК … | СБТВ | negative | 8.0 | требует проверки | |
| 18 | высокий | «Запад не верит в удар ОРЕШНИКА» | Вы приперлись на наши гра… | СБТВ | Запад | negative | 8.0 | требует проверки |
| 19 | высокий | «Польский шпион пойман в Беларуси» | Polish Spy Caught in Bela… | NEWS.BY: новости Бел | Польша, Франция | negative | 8.0 | требует проверки |
| 20 | высокий | «Утечка военных данных» | Polish Spy Caught in Bela… | NEWS.BY: новости Бел | Польша, Франция | negative | 8.0 | требует проверки |
| 21 | высокий | «Европейцы намерены продолжать бойню в Украине» | Лукашенко: Европейцы наме… | CTVBY | Беларусь, Россия | negative | 8.0 | требует проверки |
| 22 | высокий | «Дальность поражения – до 300 км» | Дальность поражения – до … | CTVBY | negative | 8.0 | требует проверки | |
| 23 | высокий | «Ядерные боеголовки для «Полонеза»» | Дальность поражения – до … | CTVBY | negative | 8.0 | требует проверки | |
| 24 | высокий | «Ежедневно гибнут ТЫСЯЧИ людей» | Лукашенко: Ежедневно гибн… | Информационное агент | Беларусь, Россия | negative | 8.0 | требует проверки |
| 25 | высокий | «Европа за войну» | 🔴ЧТО НЕ ТАК с переговорам… | СБТВ | Украина, страны Запада | negative | 8.0 | требует проверки |
| 26 | высокий | «на Западе возрождается нацизм» | 🔴ЧТО НЕ ТАК с переговорам… | СБТВ | Украина, страны Запада | negative | 8.0 | требует проверки |
| 27 | высокий | «США никогда не добьются мирового господства» | Почему США НИКОГДА не доб… | СБТВ | США | negative | 8.0 | требует проверки |
| 28 | высокий | «30 тысяч военных НАТО у границ Беларуси» | 30 тысяч военных НАТО у г… | CTVBY | Беларусь, Польша | negative | 8.0 | требует проверки |
| 29 | высокий | «Большие учения в Польше» | 30 тысяч военных НАТО у г… | CTVBY | Беларусь, Польша | negative | 8.0 | требует проверки |
| 30 | высокий | «зверства польских оккупантов» | 🔴Не забудем зверства поль… | СБТВ | Польша | negative | 8.0 | требует проверки |
| 31 | высокий | «этноцид белорусов» | 🔴Не забудем зверства поль… | СБТВ | Польша | negative | 8.0 | требует проверки |
| 32 | высокий | «Беларусь отрабатывает новые тактики на учениях Запад-2025» | Дроны, новые тактики и го… | СБТВ | Беларусь | negative | 8.0 | требует проверки |
| 33 | высокий | «готовность к войне» | Дроны, новые тактики и го… | СБТВ | Беларусь | negative | 8.0 | требует проверки |
| 34 | высокий | «эскалация у границ Беларуси» | Истерия и провокации. Ком… | СБТВ | negative | 8.0 | требует проверки | |
| 35 | высокий | «истерия и провокации» | Истерия и провокации. Ком… | СБТВ | negative | 8.0 | требует проверки | |
| 36 | высокий | «БПЛА атаковали Польшу» | Чьи БПЛА атаковали Польшу… | СБТВ | Польша, Беларусь | negative | 8.0 | требует проверки |
| 37 | высокий | «Варшава устраивает провокации на границе с Беларусью» | Чьи БПЛА атаковали Польшу… | СБТВ | Польша, Беларусь | negative | 8.0 | требует проверки |
| 38 | высокий | «40 тысяч военных Польши на границе с Беларусью» | 40 тысяч военных Польши н… | CTVBY | Польша, Беларусь | negative | 8.0 | требует проверки |
| 39 | высокий | «НАТО пытается запугать оружием» | НАТО пытается запугать ор… | CTVBY | Беларусь, НАТО | negative | 7.0 | требует проверки |
| 40 | высокий | «Зеленский ставит условия Трампу» | 🔴Зеленский ставит условия… | СБТВ | Украина, США | negative | 7.0 | требует проверки |
| 41 | высокий | «Франция разгоняет протесты бронетехникой» | 🔴Зеленский ставит условия… | СБТВ | Украина, США | negative | 7.0 | требует проверки |
| 42 | высокий | «НАТО стягивает силы к Беларуси» | Учения «Запад-2025» в раз… | CTVBY | Беларусь | negative | 7.0 | требует проверки |
| 43 | высокий | «Запад-2025 запугивает население» | Учения Запад-2025! Как Ев… | NEWS.BY: новости Бел | Беларусь, страны ЕС | negative | 7.0 | требует проверки |
| 44 | высокий | «Снижение численности войск связано с угрозами со стороны Запада» | Учения Запад-2025! Как Ев… | NEWS.BY: новости Бел | Беларусь, страны ЕС | negative | 7.0 | требует проверки |
| 45 | высокий | «Польша закрывает границу с Беларусью» | ‼️ПОЛЬША ЗАКРЫВАЕТ ГРАНИЦ… | NEWS.BY: новости Бел | Польша, Беларусь | negative | 7.0 | требует проверки |
| 46 | высокий | «Запад бьётся в истерике из-за белорусско-российских учений» | Запад бьётся в истерике и… | NEWS.BY: новости Бел | Беларусь, Россия | negative | 7.0 | требует проверки |
| 47 | высокий | «Танцы НАТО у границы» | Запад бьётся в истерике и… | NEWS.BY: новости Бел | Беларусь, Россия | negative | 7.0 | требует проверки |
| 48 | высокий | «Напряжение на границе растёт» | Напряжение на границе рас… | CTVBY | Беларусь, Россия | negative | 7.0 | требует проверки |
| 49 | высокий | «Масштабные учения НАТО» | Напряжение на границе рас… | CTVBY | Беларусь, Россия | negative | 7.0 | требует проверки |
| 50 | высокий | «Мы к ним готовы» | Лукашенко – Белоусову: ВС… | Телеканал ОНТ | negative | 7.0 | требует проверки |
Пятьдесят выявленных утверждений высокого приоритета раскрывают структуру дезинформационной кампании. Наиболее распространенные темы включают угрозы со стороны НАТО, Польши и Украины, конспирологические теории о планах нападения, демонизацию западных стран и героизацию белорусско-российского военного сотрудничества.
Утверждения о «Трампе, уступающем России», «войне с Китаем» и «Европе, строящей новый рейх» направлены на создание иллюзии глобального конфликта, в котором Беларусь и Россия выступают защитниками от агрессии. Особенно показательны материалы с географической конкретикой: «30 тысяч военных НАТО у границ Беларуси», «дальность поражения — до 300 км», «ядерные боеголовки для Полонеза». Эти псевдоточные данные призваны создать эффект достоверности при отсутствии верифицируемых источников.
Приоритетные действия:
Срочная проверка: Немедленно проверить 10 материалов с наивысшим риском Мониторинг кампаний: Установить усиленное наблюдение за каналами с координированной активностью
Фактчекинг: Проверить 50 утверждений высокого приоритета
Долгосрочные рекомендации: Расширить автоматизированный мониторинг выявленных каналов Создать систему раннего предупреждения для новых кампаний. Развить сотрудничество с международными организациями работающими с FIMI/DIMI. Регулярно обновлять базы данных дезинформационных паттернов. Проводить обучение журналистов по выявленным техникам
Дополнительный материал:
Структуированный датасет








